嫩叶草满18点此进-高清全集免费看
首页
关于一诺
产品及应用
可持续发展
新闻中心
企业愿景
加入一诺
联系我们
EN
集团简介
下属公司
荣誉资质
发展历程
公司宣传片
铸造
化妆品
新材料
健康医药
绿色农药
香精香料
绿色工厂
获得的认证
公司新闻
行业新闻
媒体报道
人才理念
校园招聘
社会招聘
成长与发展
销售网络
联系方式
在线留言
关于一诺
集团简介
下属公司
荣誉资质
发展历程
公司宣传片
产品及应用
铸造
化妆品
新材料
健康医药
绿色农药
香精香料
可持续发展
绿色工厂
获得的认证
新闻中心
公司新闻
行业新闻
媒体报道
企业愿景
企业愿景
加入一诺
人才理念
校园招聘
社会招聘
成长与发展
联系我们
销售网络
联系方式
在线留言
语言版本
EN
新闻中心
News Center
公司新闻
行业新闻
媒体报道
2026-04-03
/2026
行业新闻|生物基材料首次写入“十五五”规划,产业发展方向进一步明确
总体来看,生物基材料首次写入“十五五”规划,不仅是政策层面对这一产业方向的进一步确认,也意味着行业发展重点正在更加明确地转向产业化、规模化、应用能力和可验证能力建设。未来阶段,生物基材料的竞争核心,将不只是“被看见”,而是“被真正做成”,并以系统能力支撑产业升级与绿色发展。
2024-02-16
/2024
预计到2035年我国生物经济规模可达38~50万亿元
中国生物经济以生物技术和生物资源为两大核心视角,涵盖了农业、食品、制药、医疗器械、健康服务、资源环保和材料化工等多个领域,预计到2035年中国生物经济规模可达38万亿~50万亿元。
2026.04.03
行业新闻|生物基材料首次写入“十五五”规划,产业发展方向进一步明确
总体来看,生物基材料首次写入“十五五”规划,不仅是政策层面对这一产业方向的进一步确认,也意味着行业发展重点正在更加明确地转向产业化、规模化、应用能力和可验证能力建设。未来阶段,生物基材料的竞争核心,将不只是“被看见”,而是“被真正做成”,并以系统能力支撑产业升级与绿色发展。
2025.06.03
《制造业绿色低碳发展行动方案(2025-2027年)》——中国制造业进入“制度设计+技术突破+市场驱动”绿色转型新阶段
《制造业绿色低碳发展行动方案(2025-2027年)》释放出明确信号,制造业绿色低碳发展是全面贯彻新发展理念的战略要求,是推动经济高质量发展的重要抓手和核心动力。这一重要文件的通过,再次将“绿色制造”推向产业变革的浪潮之巅。这场以绿色为底色的新型工业化革命,正在重塑中国经济的未来。
2025.02.20
高效催化糠醛开环氢解制备1,5戊二醇
糠醛已经实现工业化应用,因此,提升糠醛的利用价值,下游转化利用十分重要。1,5戊二醇(1,5-PeD)是重要的医药中间体,在增塑剂、化妆品和合成香料等多个领域均具有广阔的应用前景。
2025.02.19
1,2-戊二醇在化妆品中的保湿防腐作用及安全性
1,2-戊二醇,是一种无色透明的液体,常温下稳定,不易氧化,对眼睛和皮肤刺激性小,具有较低的粘度和良好的水溶性。可通过亲水基团捕捉水分子而发挥保湿的作用,同时具有一定的抑制细菌和真菌的能力,可作为许多化妆品原料的溶剂,防腐剂、保湿剂。
2024.12.11
为什么市场倾向于生物基材料?
对可持续系统的更大需求和日益增加的碳足迹敏感性正日益使消费者和制造商从基于化石燃料的成分转向可持续解决方案。
2024.04.22
2028年四氢呋喃市场规模将达到17.04亿元
据统计数据预测,2023年中国四氢呋喃行业市场规模为12.94亿元,2028年中国四氢呋喃行业市场规模将达到17.04亿元。
2024.02.16
预计到2035年我国生物经济规模可达38~50万亿元
中国生物经济以生物技术和生物资源为两大核心视角,涵盖了农业、食品、制药、医疗器械、健康服务、资源环保和材料化工等多个领域,预计到2035年中国生物经济规模可达38万亿~50万亿元。
2024.01.22
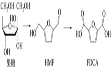
5-羟甲基糠醛HMF路线制备FDCA呋喃二甲酸
5-羟甲基糠醛HMF以果糖为原料的合成路线,最早可追随到1977 年。5-羟甲基糠醛HMF相较于其他方法的优势在于,HMF除了被用于生产FDCA呋喃二甲酸,还可与二醇、二胺共聚,进一步制造聚酯、尼龙材料...
2024.01.11
加快建设新型能源体系 推动化石能源与新能源优势互补
中国加快构建以支撑中国式现代化建设为目标,化石能源与新能源优势互补、融合发展的安全经济、绿色低碳、智慧高效、多元协调的新型能源体系。
<
1
2
>
联系我们
关于一诺
集团简介
下属公司
荣誉资质
发展历程
公司宣传片
产品及应用
铸造
化妆品
新材料
健康医药
绿色农药
香精香料
可持续发展
绿色工厂
获得的认证
新闻中心
公司新闻
行业新闻
媒体报道
企业愿景
企业愿景
加入一诺
人才理念
校园招聘
社会招聘
成长与发展
+86-393-8293966
[email protected]
COPYRIGHT © 2024-2025. ALL RIGHTS RESERVED. 嫩叶草满18点此进
鲁ICP备10028885号-1
鲁公网安备 37152202000223号
关注我们
咨询热线
0393-8293966